KAIST 이의진 교수 연구팀, 청년층 1인 가구 대상 정신건강 추적 연구
KAIST 전산학부 이의진 교수 연구팀[KAIST 제공. 재판매 및 DB 금지][KAIST 제공. 재판매 및 DB 금지]
한국과학기술원(KAIST)은 전산학부 이의진 교수 연구팀이 가정 내 사물인터넷(IoT) 센서가 수집한 데이터를 활용해 개인의 정신건강 상태를 정밀 추적할 수 있음을 입증했다고 오늘(21일) 밝혔습니다.
최근 국내 1인 가구가 800만가구를 넘어서며 1인 가구의 고립감과 정신건강 관리 문제가 사회적 과제로 떠오르고 있습니다.
기존 스마트폰이나 웨어러블 기반 정신건강 관리 방식은 사용자가 기기를 착용하지 않으면 데이터가 누락되는 한계가 있습니다.
이 교수 연구팀은 별도의 조작 없이도 일상 활동을 지속해 측정하는 가정 내 IoT 온라인카지노 벌금 유니88에 주목했습니다.
IoT는 인터넷을 기반으로 가전제품 등 생활 속 사물 사이의 정보를 온라인카지노 벌금 유니88와 통신기기로 서로 연결해 제어·관리하는 기술입니다.
연구팀은 청년층 1인 가구 20가구를 대상으로 가전제품과 수면 매트, 움직임 온라인카지노 벌금 유니88 등을 설치해 IoT 데이터를 수집하는 방법으로 4주간 실증연구를 수행했습니다.
사용자별 정신건강 상태 및 센서 데이터 상관관계 히트맵[KAIST 제공. 재판매 및 DB 금지][KAIST 제공. 재판매 및 DB 금지]
이를 스마트폰·웨어러블 데이터와 비교 분석한 결과 IoT 데이터를 함께 활용할 때 정신건강의 변화를 더 정확하게 포착할 수 있음을 확인했습니다.
관찰 결과 수면 시간 감소는 우울·불안·스트레스 수준 증가와 밀접하게 연관된 것으로 나타났다.
실내 온도 상승도 불안·우울과 상관관계를 보였습니다.
참가자들의 행동 패턴은 스트레스 상황에서 냉장고 사용이 늘어나는 '폭식형'과 활동량이 급감하는 '무기력형' 등으로 다양하게 나타났습니다.
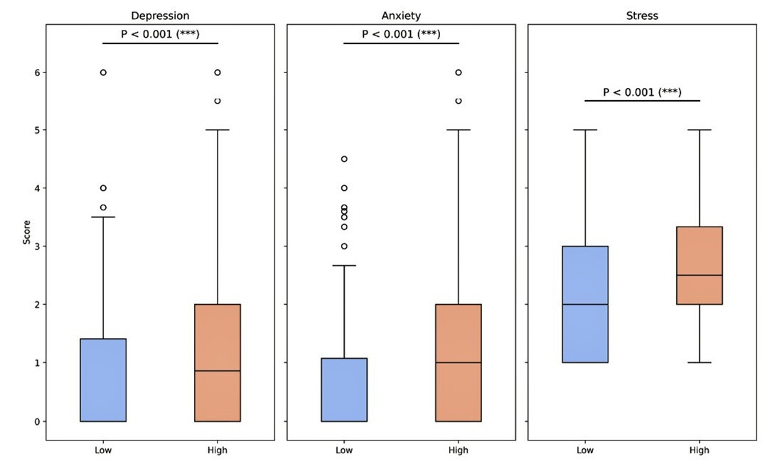
생활 패턴이 불규칙할수록 정신건강이 악화하는 경향은 공통으로 뚜렷하게 표출됐습니다.
정신건강 유지에 규칙적인 생활이 매우 중요하다는 점을 시사하는 것입니다.
생활 불규칙성이 높은 그룹(빨강)과 낮은그룹(파랑)의 평균 정신건강 상태 비교[KAIST 제공. 재판매 및 DB 금지][KAIST 제공. 재판매 및 DB 금지]
이의진 교수는 "앞으로 AI를 활용해 개인별 생활 패턴을 예측하고, 맞춤형 코칭이 가능한 원격 의료 시스템으로 발전시기겠다"고 말했습니다.
#KAIST #전산학부이의진교수연구팀 #사물인터넷IoT센서 #냉장고 #정신건강
연합뉴스TV 기사문의 및 제보 : 카톡/라인 jebo23
이은파(sw21@yna.co.kr)
KAIST 전산학부 이의진 교수 연구팀[KAIST 제공. 재판매 및 DB 금지][KAIST 제공. 재판매 및 DB 금지]한국과학기술원(KAIST)은 전산학부 이의진 교수 연구팀이 가정 내 사물인터넷(IoT) 센서가 수집한 데이터를 활용해 개인의 정신건강 상태를 정밀 추적할 수 있음을 입증했다고 오늘(21일) 밝혔습니다.
최근 국내 1인 가구가 800만가구를 넘어서며 1인 가구의 고립감과 정신건강 관리 문제가 사회적 과제로 떠오르고 있습니다.
기존 스마트폰이나 웨어러블 기반 정신건강 관리 방식은 사용자가 기기를 착용하지 않으면 데이터가 누락되는 한계가 있습니다.
이 교수 연구팀은 별도의 조작 없이도 일상 활동을 지속해 측정하는 가정 내 IoT 온라인카지노 벌금 유니88에 주목했습니다.
IoT는 인터넷을 기반으로 가전제품 등 생활 속 사물 사이의 정보를 온라인카지노 벌금 유니88와 통신기기로 서로 연결해 제어·관리하는 기술입니다.
연구팀은 청년층 1인 가구 20가구를 대상으로 가전제품과 수면 매트, 움직임 온라인카지노 벌금 유니88 등을 설치해 IoT 데이터를 수집하는 방법으로 4주간 실증연구를 수행했습니다.
사용자별 정신건강 상태 및 센서 데이터 상관관계 히트맵[KAIST 제공. 재판매 및 DB 금지][KAIST 제공. 재판매 및 DB 금지]이를 스마트폰·웨어러블 데이터와 비교 분석한 결과 IoT 데이터를 함께 활용할 때 정신건강의 변화를 더 정확하게 포착할 수 있음을 확인했습니다.
관찰 결과 수면 시간 감소는 우울·불안·스트레스 수준 증가와 밀접하게 연관된 것으로 나타났다.
실내 온도 상승도 불안·우울과 상관관계를 보였습니다.
참가자들의 행동 패턴은 스트레스 상황에서 냉장고 사용이 늘어나는 '폭식형'과 활동량이 급감하는 '무기력형' 등으로 다양하게 나타났습니다.
생활 패턴이 불규칙할수록 정신건강이 악화하는 경향은 공통으로 뚜렷하게 표출됐습니다.
정신건강 유지에 규칙적인 생활이 매우 중요하다는 점을 시사하는 것입니다.
생활 불규칙성이 높은 그룹(빨강)과 낮은그룹(파랑)의 평균 정신건강 상태 비교[KAIST 제공. 재판매 및 DB 금지][KAIST 제공. 재판매 및 DB 금지]이의진 교수는 "앞으로 AI를 활용해 개인별 생활 패턴을 예측하고, 맞춤형 코칭이 가능한 원격 의료 시스템으로 발전시기겠다"고 말했습니다.
#KAIST #전산학부이의진교수연구팀 #사물인터넷IoT센서 #냉장고 #정신건강
연합뉴스TV 기사문의 및 제보 : 카톡/라인 jebo23
이은파(sw21@yna.co.kr)
당신이 담은 순간이 뉴스입니다!
- jebo23
- 라인 앱에서 'jebo23' 친구 추가
- jebo23@yna.co.kr
ⓒ연합뉴스TV, 무단 전재-재배포, AI 학습 및 활용 금지
-
좋아요
0 -
응원해요
0 -
후속 원해요
0
ADVERTISEMENT